#
Science is a Differential Equation
#
2.2 Science is a differential equation. Religion is a boundary condition.
The title of this section is a quote by Alan Turing. Initial conditions discussed earlier is a type of boundary condition. We have seen how important these conditions are in nfluencing outcomes. To fully appreciate Turing's quote, we need to know what are differential equations.
#
2.2.1 Differential Equations Model Things that Change
Differential equations (DEs) are equations that have terms involving differentiations. DEs are widely used as mathematical statements to describe how quantities change. Such statements are often logical.
#
Beer foam dynamics
For example, beer foam are air bubbles , and bubbles pop. When there are more bubbles, there will be more popping. When bubbles pop, there will be less bubbles. The rate of change of the number of bubbles in a column of beer foam is proportional to the number of bubbles there are. I hope this sounds logical. If not, get a drink.. We model this scenario wth
\frac{dN}{dt}=-kNwhere N is the number of bubbles at time t, and k is a positive constant.
#
Particle dynamics
A more relevant example to this chapter is Newton's law of motion. We know that a force is capable of changing an object's velocity v. More force, more change. Newton says that the resultant force applied to a particle is proportional to the rate of change in velocity
F=m\frac{dv}{dt}where m is a constant known as (inertial) mass.
#
Love dynamics
Love is a more complicated affair. Romeo loves Juliet. The more attention he gets from Juliet, the more feelings he have for her. Juliet is different (and Romeo don't get it). The more affection Romeo displays, the more repulsive she finds him. But when Romeo do not give her as much attention, she starts to develop more feelings for him. We can model the lovers' feelings as follows:
\begin{align*}
\frac{dR}{dt} & =k_{1}J\\
\frac{dJ}{dt} & =-k_{2}R
\end{align*}
#
Quantum mechanics
The modern view of how molecules, atoms and subatomic particles behave is that they follow rules of quantum mechanics. The Schrรถdinger equation (presented in the 1-dimensional, time independent form) below is a differential equation that describe how the wavefunction \psi(x) of a particle changes with position x in different physical conditions V(x). The wavefunction itself relates to the probability of finding the particle. The bigger the wavefunction at a position, the higher the chance of finding the particle around that position.
-{\displaystyle \frac{\hbar^{2}}{2m}\frac{d^{2}\psi}{dx^{2}}}+\left(V(x)-E\right)\psi(x)=0
#
2.2.2 Solving DEs Analytically
#
2.2.2.1 Case 1: Beer foam
Let N(t) be the number of bubbles at time t.
Let N(0)=N_{0}.
As introduced above,
\frac{dN}{dt}=-kNwhere k is a positive constant.
Bringing N to the LHS and then integrating both sides with respect to t,
\begin{align*}
\int\frac{1}{N}dN & =\int-kdt\\
\ln N & =-kt+c\\
N & =e^{-kt+c}\\
& =e^{c}e^{-kt}
\end{align*}Using N(0)=N_{0} to find c,
\begin{align*}
N_{0} & =e^{c}e^{0}=e^{c}\\
\Rightarrow N & =N_{0}e^{-kt}
\end{align*}Go to Activity 1.
#
2.2.2.2 Case 2: Constant force on particle
Assume a constant force F acting on a particle with initial velocity v(0)=v_{0}.
We apply Newton's law of mechanics:
\begin{align*}
F & =m\frac{dv}{dt}\\
\frac{dv}{dt} & =\frac{F}{m}\\
\int dv & =\int\frac{F}{m}dt\\
v & =\frac{F}{m}t+c
\end{align*}Throw in the initial condition v(0)=v_{0},
\begin{align*}
v_{0} & =0+c\\
\Rightarrow v & =\frac{F}{m}t+v_{0}
\end{align*}Let us define acceleration of the particle a as
a=\frac{dv}{dt}It follows that a=\dfrac{dv}{dt}=\dfrac{F}{m} is a constant in this case. We can now write
v=v_{0}+atLet us also define the position of the particle x(t) with
v=\frac{dx}{dt}This allows us to solve for x:
\begin{align*}
\frac{dx}{dt} & =v_{0}+at\\
\int dx & =\int(v_{0}+at)dt\\
x & =v_{0}t+\frac{1}{2}at^{2}+c
\end{align*}Let x(0)=0. (We can do this because we can set the origin at anywhere!)
\begin{align*}
0 & =0+c\\
\Rightarrow x & =v_{0}t+\frac{1}{2}at^{2}
\end{align*}Derived above are the so-called kinematic equations which you may be familiar with.
#
2.2.2.3 Case 3: Restoring force / Harmonic Oscillator
Think of a spring with one end attached on a wall and the other end to a particle. The longer you pull the , the greater the force in the spring that wants to restore it back to the original state. The scenario is described with a vector equation:
F=-kx
where F is the spring force and x the displacement from the equilibrium position of the spring. Applying Newton's law,
F=m\frac{dv}{dt}=m\frac{d^{2}x}{dt^{2}}=-kx\frac{d^{2}x}{dt^{2}}=-\frac{k}{m}xAn educated guess of the solution of x is
x=ce^{\lambda t}The reason behind this guess is that differentiating an exponential function gives back an exponential function. With this guess, we carry on to differentiate it and fit it back to the DE:
\begin{align*}
\frac{dx}{dt} & =c\lambda e^{\lambda t}\\
\frac{d^{2}x}{dt^{2}} & =c\lambda^{2}e^{\lambda t}\\
c\lambda^{2}e^{\lambda t} & =-\frac{k}{m}ce^{\lambda t}\\
\lambda^{2} & =-\frac{k}{m}\\
\lambda & =\pm\sqrt{-\frac{k}{m}}\\
& =\pm i\sqrt{\frac{k}{m}}
\end{align*}Hence the solution is
x=c_{1}e^{i\sqrt{k/m}t}+c_{2}e^{-i\sqrt{k/m}t}Assuming the following \textbf:
\begin{align*}
x(0) & =x_{0}\\
v(0) & =0
\end{align*}This is the scenario where you pull the spring by a certain extension (x_{0}), and then let go.
\begin{align*}
v(t) & =ic_{1}\sqrt{\frac{k}{m}}e^{i\sqrt{k/m}t}-ic_{2}\sqrt{\frac{k}{m}}e^{-i\sqrt{k/m}t}\\
v(0)=0 & =ic_{1}-ic_{2}\\
c_{1} & =c_{2}
\end{align*}\begin{align*}
x(0) & =c_{1}+c_{2}=x_{0}\\
c_{1} & =\frac{x_{0}}{2}\\
x & =\frac{x_{0}}{2}\left(e^{i\sqrt{k/m}t}+e^{-i\sqrt{k/m}t}\right)\\
& =x_{0}\cos\left(\sqrt{\frac{k}{m}}t\right)
\end{align*}
#
2.2.2.4 Case 4: Love (is not that complicated)
Recall Romeo and Juliet
\begin{align*}
\frac{dR}{dt} & =k_{1}J\\
\frac{dJ}{dt} & =-k_{2}R
\end{align*}where k_{1} and k_{2} are (positive) constants.
Since both R and J are functions of time, the above is a set of coupled DEs. One cannot solve for R without knowing J, and vice versa. One way to decouple them is to take the time derivative on one of them, say R:
\begin{align*}
\frac{d}{dt}\frac{dR}{dt} & =\frac{d}{dt}k_{1}J\\
\frac{d^{2}R}{dt^{2}} & =k_{1}\frac{dJ}{dt}\\
\frac{d^{2}R}{dt^{2}} & =-k_{1}k_{2}R
\end{align*}If we look at the above equation carefully we will notice that it is the DE for a restoring force / harmonic oscillator (x\rightarrow R,m\rightarrow1,k\rightarrow k_{1}k_{2} )!
Assume the initial conditions
\begin{align*}
R(0) & =R_{0}\\
J(0) & =0,
\end{align*}(This is equivalent to x(0)=x_{0},v(0)=0 in the harmonic oscillator case.)
The solutions are
\begin{align*}
R & =R_{0}\cos(\sqrt{k_{1}k_{2}}t)\\
J & =\frac{1}{k_{1}}\frac{dR}{dt}=-\frac{1}{k_{1}}R_{0}\sqrt{k_{1}k_{2}}\sin(\sqrt{k_{1}k_{2}}t)=-\sqrt{\frac{k_{2}}{k_{1}}}R_{0}\sin(\sqrt{k_{1}k_{2}}t)
\end{align*}Go to Activity 2.
#
2.2.3 Solving DEs Numerically
We will use the simple Euler's method to numerically solve DEs. Simply approximate \dfrac{df}{dt} with \dfrac{\Delta f}{\Delta t} and choose an appropriately small \Delta t.
#
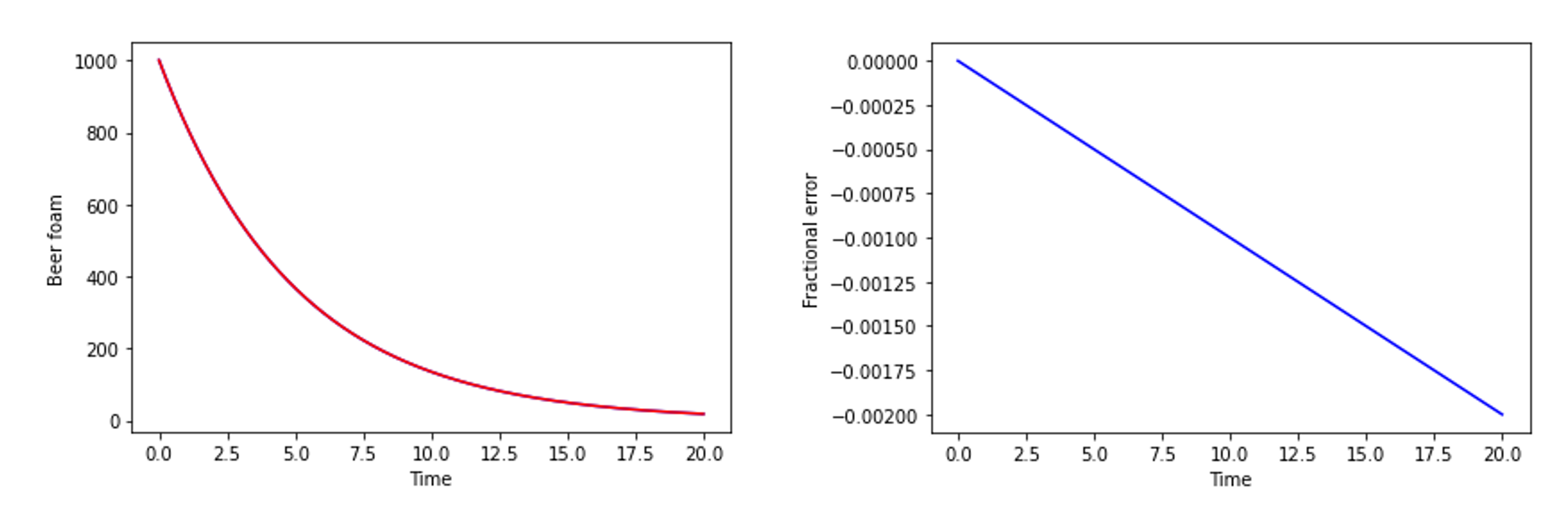
2.2.3.1 Case 1: Beer foam
Let
\begin{align*}
\frac{\Delta N}{\Delta t} & =\frac{dN}{dt}=-kN\\
N(0) & =1000=N_{0}\\
k & =0.2\\
\Delta t & =0.01
\end{align*}We know N_{0} at first. The numerical schemes finds N_{1} using N_{0}, then finds N_{2} using N_{1} and so on.N
\begin{align*}
N_{i+1} & =N_{i}+\Delta N\\
& =N_{i}+\frac{\Delta N}{\Delta t}\Delta t\\
& =N_{i}-kN_{i}\Delta t
\end{align*}We can implement this on in a computer (Python) and plot the solution.
Try it yourself!
Do the above!
Any numerical solution will have an error. As the analytical solution is known, we can track the error with
\text{fractional error}=\frac{\text{numerical solution}-\text{analytical solution}}{\text{analytical solution}}
#
2.2.3.2 Case 2: Love (is in the numbers)
\begin{align*}
\frac{\Delta R}{\Delta t} & \approx\frac{dR}{dt}=k_{1}J\\
\frac{\Delta J}{\Delta t} & \approx\frac{dJ}{dt}=-k_{2}R\\
R(0) & =R_{0}=1\\
J(0) & =J_{0}=0
\end{align*}Euler method:
\begin{align*}
R_{i+1} & =R_{i}+\Delta R=R_{i}+k_{1}J_{i}\Delta t\\
J_{i+1} & =J_{i}+\Delta J=J_{i}-k_{2}R_{i}\Delta t
\end{align*}We can implement this on a computer as was done previously for the case of beer foam.
Try it yourself!
Do the above for k_{1}=1, k_{2}=0.8, \Delta t=0.001.
Plot R(t) and J(t) on the same graph.
Plot J vs R.
Introducing a modified Euler method known as the Euler-Cromer method1:
\begin{align*}
R_{i+1} & =R_{i}+\Delta R=R_{i}+k_{1}J_{i}\Delta t\\
J_{i+1} & =J_{i}+\Delta J=J_{i}-k_{2}R_{i+1}\Delta t
\end{align*}Note the difference with the original Euler method?
Go to Activity 3.
-
- Cromer, Stable solutions using the Euler Approximation, American Journal of Physics, 49, 455 (1981)
